Построение и анализ ЛММ с помощью R
Подготовка данных
'data.frame': 25 obs. of 6 variables:
$ X..з.п: int 1 2 3 4 5 6 7 8 9 10 ...
$ Y : num 9.26 9.38 12.11 10.81 9.35 ...
$ X2 : num 0.23 0.24 0.19 0.17 0.23 0.43 0.31 0.26 0.49 0.36 ...
$ X3 : int 47750 50391 43149 41089 14257 22661 52509 14903 25587 16821 ...
$ X4 : num 6.4 7.8 9.76 7.9 5.35 9.9 4.5 4.88 3.46 3.6 ...
$ X5 : num 17.7 18.4 26.5 22.4 28.1 ...
Построение ЛММ
Call:
lm(formula = Y ~ X2 + X3 + X4 + X5, data = d)
Residuals:
Min 1Q Median 3Q Max
-2.08438 -0.28194 -0.06559 0.11921 3.10511
Coefficients:
Estimate Std. Error t value Pr(>|t|)
(Intercept) 1.044e+01 1.695e+00 6.159 5.12e-06 ***
X2 -1.475e+01 3.199e+00 -4.612 0.000169 ***
X3 3.129e-05 1.324e-05 2.364 0.028323 *
X4 1.983e-01 1.104e-01 1.796 0.087623 .
X5 -8.625e-05 5.364e-02 -0.002 0.998733
---
Signif. codes: 0 ‘***’ 0.001 ‘**’ 0.01 ‘*’ 0.05 ‘.’ 0.1 ‘ ’ 1
Residual standard error: 1.131 on 20 degrees of freedom
Multiple R-squared: 0.7628, Adjusted R-squared: 0.7154
F-statistic: 16.08 on 4 and 20 DF, p-value: 4.858e-06
[1] "MSE = 1.02381963571039"
[1] "MAPE = 9.4044807390036"

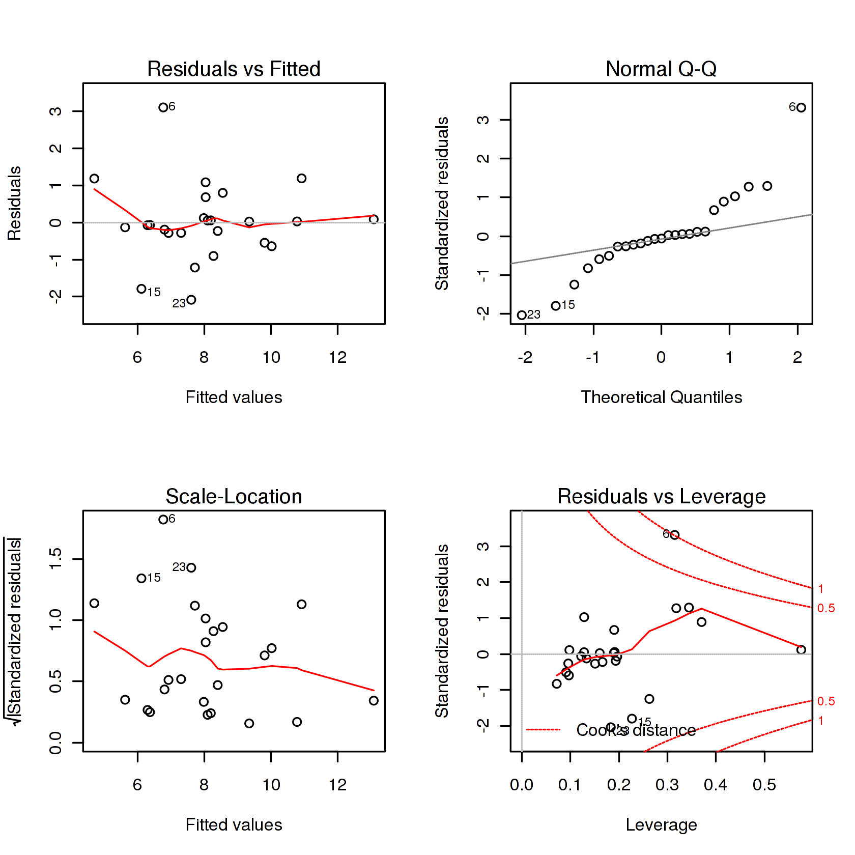
Нормальность остатков
Shapiro-Wilk normality test
data: u
W = 0.91782, p-value = 0.04571


Спецификация
RESET test
data: d.lm
RESET = 0.36365, df1 = 3, df2 = 17, p-value = 0.7801
[1] "AF = 38.3932363391395"
Стандартизированная модель
Call:
lm(formula = Y ~ X2 + X3 + X4 + X5, data = data.frame(scale(d)))
Residuals:
Min 1Q Median 3Q Max
-0.98294 -0.13295 -0.03093 0.05622 1.46430
Coefficients:
Estimate Std. Error t value Pr(>|t|)
(Intercept) 1.128e-16 1.067e-01 0.000 1.000000
X2 -5.979e-01 1.296e-01 -4.612 0.000169 ***
X3 3.057e-01 1.293e-01 2.364 0.028323 *
X4 2.022e-01 1.126e-01 1.796 0.087623 .
X5 -1.765e-04 1.098e-01 -0.002 0.998733
---
Signif. codes: 0 ‘***’ 0.001 ‘**’ 0.01 ‘*’ 0.05 ‘.’ 0.1 ‘ ’ 1
Residual standard error: 0.5335 on 20 degrees of freedom
Multiple R-squared: 0.7628, Adjusted R-squared: 0.7154
F-statistic: 16.08 on 4 and 20 DF, p-value: 4.858e-06
Эластичность
- 0
- -0.563269671575895
- 0.114740163997365
- 0.15484518174032
- -0.000209001087802315
Дисперсионно-ковариационная матрица коэффициентов
| (Intercept) | X2 | X3 | X4 | X5 | |
|---|---|---|---|---|---|
| (Intercept) | 2.245070e+00 | -2.8259646670 | -7.401786e-06 | -6.295829e-02 | -3.677625e-02 |
| X2 | -2.825965e+00 | 7.9973895323 | 1.661980e-05 | 3.223947e-02 | -1.698824e-02 |
| X3 | -7.401786e-06 | 0.0000166198 | 1.369017e-10 | -1.559626e-07 | -4.014967e-08 |
| X4 | -6.295829e-02 | 0.0322394683 | -1.559626e-07 | 9.522466e-03 | -1.207146e-04 |
| X5 | -3.677625e-02 | -0.0169882391 | -4.014967e-08 | -1.207146e-04 | 2.248496e-03 |
| (Intercept) | X2 | X3 | X4 | X5 | |
|---|---|---|---|---|---|
| (Intercept) | 1.0000000 | -0.6669261 | -0.42219897 | -0.43058937 | -0.51761458 |
| X2 | -0.6669261 | 1.0000000 | 0.50228152 | 0.11682587 | -0.12668587 |
| X3 | -0.4221990 | 0.5022815 | 1.00000000 | -0.13659703 | -0.07236549 |
| X4 | -0.4305894 | 0.1168259 | -0.13659703 | 1.00000000 | -0.02608789 |
| X5 | -0.5176146 | -0.1266859 | -0.07236549 | -0.02608789 | 1.00000000 |
Значимость и доверительные интервалы коэффициентов
| Estimate | Std. Error | t value | Pr(>|t|) | |
|---|---|---|---|---|
| (Intercept) | 1.043913e+01 | 1.695047e+00 | 6.158610298 | 5.122049e-06 |
| X2 | -1.475474e+01 | 3.199196e+00 | -4.612014693 | 1.685705e-04 |
| X3 | 3.128789e-05 | 1.323644e-05 | 2.363769656 | 2.832335e-02 |
| X4 | 1.982624e-01 | 1.103930e-01 | 1.795969116 | 8.762338e-02 |
| X5 | -8.625347e-05 | 5.364297e-02 | -0.001607918 | 9.987330e-01 |
| 5 % | 95 % | |
|---|---|---|
| (Intercept) | 7.515654e+00 | 1.336261e+01 |
| X2 | -2.027245e+01 | -9.237027e+00 |
| X3 | 8.458765e-06 | 5.411702e-05 |
| X4 | 7.865596e-03 | 3.886592e-01 |
| X5 | -9.260526e-02 | 9.243275e-02 |
Частные коэффициенты детерминации
- 0
- 0.322805952080858
- 0.0847950451884349
- 0.0489505863042629
- 3.92362709586809e-08
Прогнозы
Call:
lm(formula = Y ~ X2 + X3 + X4 + X5, data = d, subset = train)
Residuals:
Min 1Q Median 3Q Max
-2.4972 -0.2969 -0.1291 0.2079 2.6858
Coefficients:
Estimate Std. Error t value Pr(>|t|)
(Intercept) 9.933e+00 1.942e+00 5.114 0.000127 ***
X2 -1.448e+01 3.817e+00 -3.795 0.001762 **
X3 2.908e-05 1.475e-05 1.971 0.067424 .
X4 2.623e-01 1.205e-01 2.178 0.045810 *
X5 1.274e-02 5.768e-02 0.221 0.828201
---
Signif. codes: 0 ‘***’ 0.001 ‘**’ 0.01 ‘*’ 0.05 ‘.’ 0.1 ‘ ’ 1
Residual standard error: 1.078 on 15 degrees of freedom
Multiple R-squared: 0.7882, Adjusted R-squared: 0.7317
F-statistic: 13.95 on 4 and 15 DF, p-value: 6.089e-05
- 1
- 9.89486139746746
- 9
- 4.79295905539256
- 13
- 7.79459142218283
- 15
- 6.54385770695411
- 16
- 8.45903229962523
- 9.26
- 5.88
- 6.5
- 4.32
- 7.37
| fit | lwr | upr | |
|---|---|---|---|
| 1 | 9.894861 | 7.475786 | 12.313937 |
| 9 | 4.792959 | 1.742130 | 7.843788 |
| 13 | 7.794591 | 4.936873 | 10.652309 |
| 15 | 6.543858 | 3.899736 | 9.187980 |
| 16 | 8.459032 | 6.064698 | 10.853367 |
| fit | lwr | upr | |
|---|---|---|---|
| 1 | 9.894861 | 9.137241 | 10.652482 |
| 9 | 4.792959 | 2.785568 | 6.800350 |
| 13 | 7.794591 | 6.094999 | 9.494183 |
| 15 | 6.543858 | 5.234873 | 7.852842 |
| 16 | 8.459032 | 7.784572 | 9.133493 |
26: 8.068
| fit | lwr | upr | |
|---|---|---|---|
| 26 | 8.068 | 5.661477 | 10.47452 |
| fit | lwr | upr | |
|---|---|---|---|
| 26 | 8.068 | 7.596042 | 8.539958 |